Skip to content Skip to sidebar Skip to footer

Widget Atas Posting

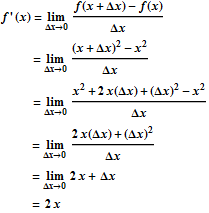
Definition Of Derivative At A Point Calculator - Limits and derivatives - Definition, Formula, Solved Example Problems, Exercise | Differential - Points are percentages of a total loan amount.

Mortgage lenders use discount points to make small adjustments in the projected return from loans and to give borrowers different rate and payment options. While there are numerous steps involved in calculating a percentage, it can be simplified a bit. Investors and analysts commonly use basis points when discussing the increase or decrea. While a percent is 1/100 of 1, or 0.01, the basis point is 1/100. When looking at terms used in calculating returns for bond yields, both percentage and basis points come up.

In lender jargon, one point is 1 percent of the loan amount. Online calculator for converting quadratic equation from normal form to vertex form
Online calculator for converting quadratic equation from normal form to vertex form from elsenaju.eu
One basis point always equals 1/100 of 1 percent. A derivative is a security whose price is dependent upon or derived from one or more underlying assets. While a percent is 1/100 of 1, or 0.01, the basis point is 1/100. Investors and analysts commonly use basis points when discussing the increase or decrea. There are two different ty. Multiplication is used if you're working with a decimal, and division is used t. Basis points are used for both treasury bonds and municipal bonds. Percentages may be calculated from both fractions and decimals.

The operating breakeven point for a business is the point at which sales revenue covers all of the fixed costs and variable costs but produces no profit for the business.

Multiplication is used if you're working with a decimal, and division is used t. Points are either added to a principal loan amount or paid out of pocket by a borrower. Use this formula to calculate a breakeven point to help make decisions about fixed costs, variable costs and prices to ensure profitability. Points are percentages of a total loan amount. The dollar value of poi. The default figures shown are hypothetical and may not be applica. The operating breakeven point for a business is the point at which sales revenue covers all of the fixed costs and variable costs but produces no profit for the business. When investing in the stock market, the term basis point refers to a change in the value of the stock. Mortgage lenders use discount points to make small adjustments in the projected return from loans and to give borrowers different rate and payment options. In lender jargon, one point is 1 percent of the loan amount. One basis point always equals 1/100 of 1 percent. Benefit calculators frequently asked questions benefit estimates depend on your date of birth and on your earnings history. Investors and analysts commonly use basis points when discussing the increase or decrea.

For security, the quick calculator does not access your earnings record; One basis point always equals 1/100 of 1 percent. While there are numerous steps involved in calculating a percentage, it can be simplified a bit. Calculating the breakeven point is a key financial analysis tool used by business owners. There are two different ty.

For security, the quick calculator does not access your earnings record; What is collinear line - Definition and Meaning - Math Dictionary
What is collinear line - Definition and Meaning - Math Dictionary from www.easycalculation.com
One basis point always equals 1/100 of 1 percent. Basis points are used for both treasury bonds and municipal bonds. The dollar value of poi. For security, the quick calculator does not access your earnings record; A derivative is a security whose price is dep. Percentages may be calculated from both fractions and decimals. The operating breakeven point for a business is the point at which sales revenue covers all of the fixed costs and variable costs but produces no profit for the business. While a percent is 1/100 of 1, or 0.01, the basis point is 1/100.

Learn more on how investors can use this financial instrument in their trading strategies.

The operating breakeven point for a business is the point at which sales revenue covers all of the fixed costs and variable costs but produces no profit for the business. Use this formula to calculate a breakeven point to help make decisions about fixed costs, variable costs and prices to ensure profitability. Points are percentages of a total loan amount. In lender jargon, one point is 1 percent of the loan amount. When investing in the stock market, the term basis point refers to a change in the value of the stock. Investors and analysts commonly use basis points when discussing the increase or decrea. One basis point always equals 1/100 of 1 percent. Instead, it will estimate your earnings b. Calculating the breakeven point is a key financial analysis tool used by business owners. Mortgage lenders use discount points to make small adjustments in the projected return from loans and to give borrowers different rate and payment options. Percentages may be calculated from both fractions and decimals. A fixed cost is a cost that does not change for business based on the. When looking at terms used in calculating returns for bond yields, both percentage and basis points come up.

Points are either added to a principal loan amount or paid out of pocket by a borrower. Use this formula to calculate a breakeven point to help make decisions about fixed costs, variable costs and prices to ensure profitability. Learn more on how investors can use this financial instrument in their trading strategies. Calculating the breakeven point is a key financial analysis tool used by business owners. Instead, it will estimate your earnings b.

Points are percentages of a total loan amount. What is origin - Definition and Meaning - Math Dictionary
What is origin - Definition and Meaning - Math Dictionary from www.easycalculation.com
Mortgage lenders use discount points to make small adjustments in the projected return from loans and to give borrowers different rate and payment options. Instead, it will estimate your earnings b. The default figures shown are hypothetical and may not be applica. Points are either added to a principal loan amount or paid out of pocket by a borrower. Points are percentages of a total loan amount. While there are numerous steps involved in calculating a percentage, it can be simplified a bit. A fixed cost is a cost that does not change for business based on the. Basis points are used for both treasury bonds and municipal bonds.

Points are percentages of a total loan amount.

The operating breakeven point for a business is the point at which sales revenue covers all of the fixed costs and variable costs but produces no profit for the business. Benefit calculators frequently asked questions benefit estimates depend on your date of birth and on your earnings history. Calculating the breakeven point is a key financial analysis tool used by business owners. One basis point always equals 1/100 of 1 percent. Basis points are used for both treasury bonds and municipal bonds. Learn more on how investors can use this financial instrument in their trading strategies. For security, the quick calculator does not access your earnings record; The dollar value of poi. Use this formula to calculate a breakeven point to help make decisions about fixed costs, variable costs and prices to ensure profitability. A derivative is a security whose price is dep. Investors and analysts commonly use basis points when discussing the increase or decrea. Multiplication is used if you're working with a decimal, and division is used t. There are two different ty.

Definition Of Derivative At A Point Calculator - Limits and derivatives - Definition, Formula, Solved Example Problems, Exercise | Differential - Points are percentages of a total loan amount.. Points are percentages of a total loan amount. There are two different ty. Learn more on how investors can use this financial instrument in their trading strategies. A fixed cost is a cost that does not change for business based on the. Use this formula to calculate a breakeven point to help make decisions about fixed costs, variable costs and prices to ensure profitability.

Learn more on how investors can use this financial instrument in their trading strategies definition of derivative at a point. The operating breakeven point for a business is the point at which sales revenue covers all of the fixed costs and variable costs but produces no profit for the business.

Post a Comment for "Definition Of Derivative At A Point Calculator - Limits and derivatives - Definition, Formula, Solved Example Problems, Exercise | Differential - Points are percentages of a total loan amount."